By James Paron
Oppression takes no days off; neither should our battle against it. Still, in the Era of Intersectionality, it can become exhausting to keep track of struggles and yet more exhausting to fight in several concurrently. We thus deploy the most potent tactics possible in our battle against fascist pigs.
Usually, it makes most sense to challenge inequity by plugging one’s ears and shouting “bigot”; but facts and statistics can serve as a useful supplement thereto. For instance, consider the debate over socioeconomic gender equity. The gender pay gap — the hotly contested statistic indicating that women earn $0.77 for every $1.00 earned by a man — has opened up an important discourse on economic sexism.
Concurrently, there have been great strides in the fight against the gender binary. Increasingly, entitled males (redundant?) have come to recognize that any individual can invent a gender and that [invented pronoun] is totally reasonable for doing so. Alongside the economic empowerment of women, awareness of the non-binary has made decent progress.
However, despite the seemingly parallel nature of these social causes, new evidence suggests that they may in fact be directly at odds. A shocking mathematical proof reveals a contradiction in our fight against the Patriarchy. It finds that, if gender is an infinite spectrum, the gender pay gap increases fourfold, ceding a dispiriting victory to the chauvinists (i.e., all men).
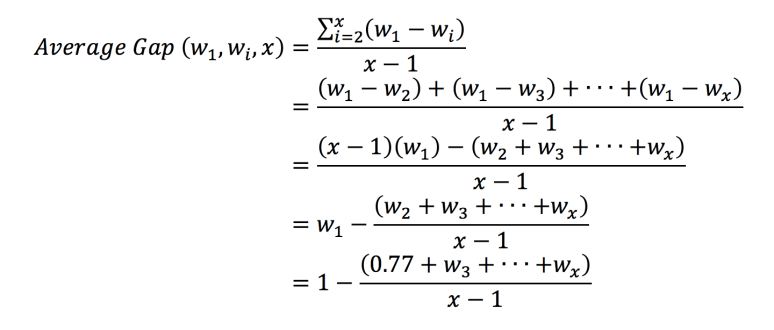
Let x represent the number of genders such that {x ϵ ℤ, x ≥ 2}, meaning x is a positive integer greater than 1 (hence countably infinite). Let w_i represent the wage of the ith gender in USD for every $1.00 earned by a man. Thus, w_1 = 1 and w_2 = 0.77. The following equation holds for the average gap between a male wage and that of a different gender:

Note that this equation implies what we know to be true: if there are only two genders, the average pay gap is equal to $0.23 [1-(0.77/(2-1))=0.23]. Let us now solve for the limit of this equation as the number of genders, x, approaches infinity:

Yikes.
It might seem antithetical to common sense, but the math tells an unfortunate story: in a world of infinite genders, the average gender pay gap of $0.23 increases by almost 335% to an entire dollar. Numbers do not lie — one must conclude that it is better for economic equality that there are only two genders.
One might reject this evidence, arguing that while there are infinite potential genders, there are only seven billion people, restricting gendered economic participants to a finite number. This assumption is as misled as it is offensive. One individual can him/her/xerself possess infinite genders, earning infinite separate wages on a per-gender basis. Limiting each person to just one gender is a dangerous exercise of one’s privilege.
It is true that, due to its own internal logical consistency, any rational person ought to be in favor of recognizing the infinite gender spectrum. However, we must also ask ourselves: is it worth liberating the masses from the tyrannical gender binary if men become over four times wealthier in the process? For some, the answer is still yes; but for the economic-minded utilitarian, it might not be worth the cost.
